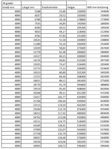
prislista 489 x 39 grader

Hej och välkomna till oss i sommar!

I september är det dags för mässa nummer 2!

År 2023 var första gången vi ställde ut där och det blev riktigt bra.

Ölands skördefest, Ölands trädgårdsmässa. Kastlösa gård.

Datum för denna är 27-28 September klockan 10.00-18.00
https://kastlosa.se/evenemang/olands-tradgardsmassa/

Växthuset vi visar upp kommer vi att ha budgivning på, och kan leverera direkt efter mässan är slut. Det kommer även att finnas fler erbjudanden på plats.

Visste ni att vi på senhöst och vinter gör:

  • Anpassade växthus till er gamla grund.
  • Växthus med en bredd på 489 cm på vintern.
  • Alla våra standardväxthus med sadeltak har 5 års stormgaranti.
  • Alla våra växthus är snölastberäknade så de ej rasar på vintern.

Välkomna till oss, den personliga växthustillverkaren.
Och vill ni inte köpa, så kom och snacka ändå. Alla är välkommna!

Eva och Anders